Noi restricții în municipiul Buzău și 7 comune

Noi restricții în municipiul Buzău și 7 comune
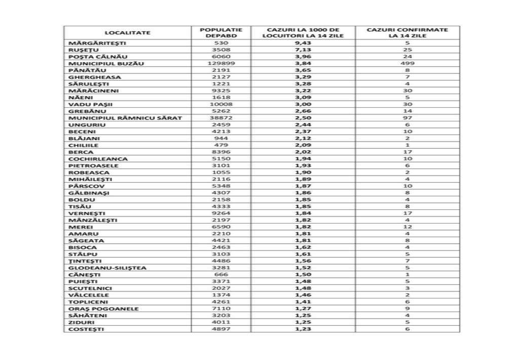
Rata de incidență în municipiul Buzău a ajuns la 3,84 la mia de locuitori
De vineri, certificatul verde este obligatoriu în municipiul Buzău pentru accesul în restaurant sau la cinema. De asemenea, cine vrea să meargă la restaurantele din mall și să servească masa, va trebui să fie vaccinat, să prezinte un test negativ sau să fi trecut prin boală. Și la competițiile sportive va fi permis accesul doar pe bază de certificat, în timp ce sălile de sport sau cele de jocuri de noroc vor putea funcționa doar cu un anumit număr de clienți. Toate aceste restricții au fost stabilite de membrii Comitetului Județean pentru Situații de Urgență Buzău în condițiile în care rata de infectare cu coronavirus în municipiu a crescut semnificativ în ultimele zile, ajungând la 3,84, ceea ce înseamnă că municipiul se află în scenariul roșu.
În municipiul Buzău, 499 de persoane au fost depistate în ultimele 14 zile cu COVID-19. Potrivit hotărârii CJSU, în municipiul Buzău, în spațiile închise sau deschise, competițiile sportive se pot desfășura cu participarea spectatorilor până la 30% din capacitatea maximă a spațiului. Accesul la aceste competiții este condiționat însă de certificatul verde, adică vor putea participa persoanele care au fost vaccinate anti COVID, au trecut prin boală sau prezintă rezultatul negativ al unui test COVID. Certificatul verde reprezintă biletul de acces și la restaurant, cafenele, baruri dar și la cinematograf. În plus, activitatea în cadrul cinematografelor, instituțiilor de spectacole, în restaurante și cafenele, atât în interiorul clădirilor, precum și la terase, este permisă fără a depăși 50% din capacitate. Nunțile și botezurile pot fi organizate cu un număr de maximum 200 de persoane și cu asigurarea unei suprafețe de minimum 2 mp, cu condiția ca invitații fie vaccinați sau testați negativ. O altă regulă prevede că zona de servit masa la restaurantele din mall va fi bine delimitată și aici vor avea acces doar buzoienii care prezintă certificatul verde.
Nu doar municipiul Buzău se află în scenariul roșu, ci și alte 7 comune din județ. Iar comuna Mărgăritețti s-a ajuns la o incidență de 9,43 la mia de locuitori, cu 5 cazuri în ultimele 14 zile la o populație de 530 de locuitori, în timp ce la Rușețu rata de incidență a ajuns la 7,13, cu 25 de cazuri la 3508 locuitori. În aceste localități sunt interzise o serie de activități inclusiv spectacole, competiții sportive, nunțile și botezurile nu mai pot fi organizate în comună. Iar la sfârșit de săptămână va fi impusă carantina, adică magazinele se închid la ora 18 iar circulația în afara locuinței după ora 20 va fi interzisă celor care nu sunt vaccinați.
Sursa: Realitatea de Buzau
Citește și:
- 21:34 - Liderul Cubei îl avertizează pe Trump: „Orice intervenție va fi întâmpinată cu o rezistență de nezdruncinat”
- 20:42 - UE lansează „EU Inc”: firme înființate în 48 de ore, pentru a opri exodul companiilor spre SUA
- 19:36 - Scene de groază într-o familie din Iași: un bărbat și-ar fi omorât fiul și ar fi vrut să scape de cadavru
- 18:32 - Europa, în fața unei noi crize a carburanților: statele vecine intervin, România încă analizează
Mai multe articole despre
Urmărește știrile Realitatea de Buzau și pe Google News











